Điều chỉnh động học máy 5140

Máy 5140 do Liên Xô chế tạo, là máy xọc răng bao hình bán tự động, chuyên dùng gia công bánh răng trụ đến đường kính Dmax= 800. Máy có thể gia công được bánh răng ăn khớp trong, bánh răng bậc. máy sử dụng các dao xọc răng chuyên dùng (Hình 3.27) mô tả sơ đồ truyền dẫn chuyển động của máy 5140. Dựa vào sơ đồ động của máy hướng dẫn điều chỉnh động học theo trình bày dưới đây.

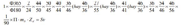
Điều chỉnh xích truyền dẫn chính: Chuyển động chính của đầu dao xọc được dẫn động từ động cơ M(n=1460 vòng/phút) qua bộ truyền đai( ), vào hộp tốc độ qua nhóm truyền có ba tỉ số truyền (39/49”M1 đóng”, hoặc 34/54, hoặc   39/45”M2 đóng”) đến  tỉ số truyền (39/49), tiếp đến nhóm truyền có   ba  tỉ số   truyền (34/54, hoặc 44/44, hoặc 39/44),  và truyền qua nhóm   truyền   có   hai tỉ số truyền (43/45,hoặc 29/59 ), đến tỉ số truyền đai ϕ180/ϕ365 truyền chuyển động quay đĩa biên dẫn động đầu dao xọc.

Như vậy trong truyền dẫn chính, cấu trúc kết cấu hộp tốc độ ( Zn = 3 x1X 3 X 2) cho phép nhận được 18 lượng hành trình kép của đầu dao xọc.

Điều chỉnh xích chạy dao vòng: Xích truyền dẫn chuyển động chạy dao vòng được điều chỉnh để xác định lượng dịch chuyển góc của dao trên một hành trình kép của đầu dao. Lượng dịch chuyển này xác định tốc độ tạo hình biên dạng răng, ảnh hưởng lớn đến chất lượng bề mặt răng. Phương trình điều chỉnh động học xích chạy dao vòng theo dịch chuyển góc:

Hộp điều chỉnh chạy dao vòng có công thức cấu trúc kết cấu ZS=2 X 2 X 2 = 8 với một hành trình xọc có thể điều chỉnh để nhận được một trong tám lượng chạy dao vòng khác nhau chọn theo hướng dẫn sử dụng máy.

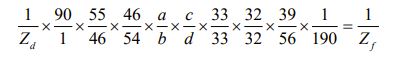
Điều chỉnh xích phân độ (bao hình): Điều chỉnh theo quan hệ động học nhắc lại ăn khớp của dao xọc răng với phôi bánh răng theo phương trình điều chỉnh:

Chọn bánh răng thay thế điều chỉnh chạc phân độ theo công thức:

 

Cơ cấu đảo chiều bánh răng côn Z33-Z33-Z33 trên xích bao hình, dùng để xác lập chiều chuyển động bàn máy, cùng chiều hoặc ngược chiều quay trục dao khi gia công bánh răng ăn khớp trong hoặc ăn khớp ngoài.

Truyền dẫn ăn dao hướng kính: Chuyển động ăn dao hướng kính được thực hiện từ xi lanh thủy lực (D=108) đến cam K có độ côn 1: 6 trong hành trình ăn dao. Xi lanh thủy lực (D=75) duy trì khớp cao và dẫn động chạy dao nhanh. Dịch chuyển huớng kính bằng tay để hiệu chỉnh vị trí khởi xuất bàn máy từ tay quay qua bộ truyền trục vít (3: 24) đến vít me (t=8 mm).

Truyền dẫn chuyển động nhường dao:Được thực hiện bằng cơ cấu cam riêng để nhường dao

Truyền dẫn quay nhanh bàn máy: Trong điều chỉnh máy, khi gá đặt định vị phôi đồng tâm với tâm quay của bàn mái cần có chuyển động quay nhanh bàn máy để giảm thời gian phụ. Bàn máy nhận chuyển động quay nhanh từ động cơ M qua các bộ truyền đai đến ly hợp siêu việt đến bàn.

Cơ cấu đếm của máy xọc răng: (không thể hiện trên sơ đồ động) là cơ cấu cần thiết cho điều khiển chu kỳ bán tự động của máy. Khi kết thúc quá trình ăn dao hướng kính, cơ cấu bắt đầu đếm số răng gia công đến khi gia công xong nó tác động điều khiển lùi bàn máy và dừng máy tự động.

Trả lời

Email của bạn sẽ không được hiển thị công khai. Các trường bắt buộc được đánh dấu *